Sama halnya dengan guru tenaga honorer bidan juga sangat banyak sehingga penerimaan cpns menjadi informasi yang sangat ditunggu. Contoh surat lamaran kerja bidan menjadi bidan merupakan pekerjaan yang sangat mulia.
8 Contoh Surat Pengalaman Kerja Bidan Guru Perusahaan
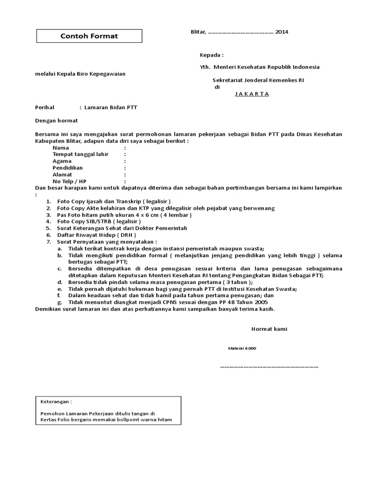
Contoh surat lamaran pekerjaan bidan. Contoh surat lamaran kerja di rumah sakit tentunya sangat diperlukan bagi mereka yang berencana melamar pekerjaan di rumah sakit. Contoh surat lamaran kerja di rumah sakit untuk bidan bagi anda yang merupakan tamatan dari pendidikan bidan juga tidak ada salahnya untuk melamar pekerjaan di rumah sakit tertentu. Mungkin terdapat jutaan artikel di internet yang menyediakan panduan bagaimana cara membuat surat lamaran pekerjaan yang disertai contoh surat lamaran pekerjaan baik itu surat lamaran kerja untuk melamar ke perusahaan maupun surat lamaran pekerjaan. Contoh surat lamaran kerja sebagai dokter spesialis ini hanya bisa anda gunakan untuk fasilitas kesehatan baik rumah sakit swasta maupun negeri yang ada di indonesia saja. Untuk itu bagi anda yang lulusan dari d3 keperawatan atau kebidanan sangat dianjurkan untuk melamar kerja sebagai bidan. Contoh surat lamaran kerja bidan adalah surat lamaran yang dibuat untuk melamar pada posisi bidan.
Contoh surat lamaran kerja menjadi bidan ini dapat anda gunakan untuk melamar pekerjaan di berbagai tempat yang membuka lowongan pekerjaan mengenai bisan yang biasanya tersebar hampir di seluruh indonesia yang membutuhkan jasa sebagai bidan di setiap klinik atau rumah sakit ternama. Yogyakarta 11 mei 2019. Dengan hormat sehubungan dengan informasi lowongan kerja yang tercantum pada harian kedaulatan rakyat. Contoh surat lamaran honorer bidan contoh surat lamaran kerja honorer puskesmas di atas sebaiknya dipergunakan secara bijak untuk melamar pekerjaan sebagai tenaga puskesmas non pns. Surat lamaran kerjaan bidan sesungguhnya begitu gampang serta simpel yaitu hanya menuliskan di kertas mengenai maksud menginginkan bekerja sebagai bidan. Contoh surat lamaran kerja bidan yang baik dan benar s urat lamaran pekerjaan bidan umumnya di buat untuk melamar pekerjaan disuatu rumah sakit puskesmas klinik atau pelayanan kesehatan yang lain.
Contoh surat lamaran kerja bidan tahukah anda bahwa pekerjaan menjadi seorang bidan kian dibutuhkan beberapa tahun terakhir ini hal ini dibuktikan dengan semakin banyaknya pembangunan puskesmas dan rumah sakit maupun klinik di indonesia memang jika ditilik secara mendalam pekerjaan bidan memang penting sebab bidan berguna dalam melakukan bimbingan dan penyuluhan kepada individu keluarga. Upt puskesmas sendhangadhi di sendhangadhi mlati sleman. Contoh surat lamaran kerja bidan di puskesmas. Contoh surat lamaran kerja ini dibuat tentu saja untuk menjadi referensi bagi anda yang sedang mencari panduan untuk membuat surat lamaran kerja. Nah di halaman ini saya akan membagikan beberapa contoh namun sebelum itu kita simak terlebih dahulu ulasan berikut ini. Karena kita akan membantu orang orang dan masyarakat untuk mendapat perawatan.
Terlebih jika anda sudah memiliki pengalaman kerja maka akan banyak membantu anda untuk bisa diterima di rumah sakit yang anda lamar. Contoh surat lamaran bidan tidak berbeda dengan surat lamaran lainnya.
















