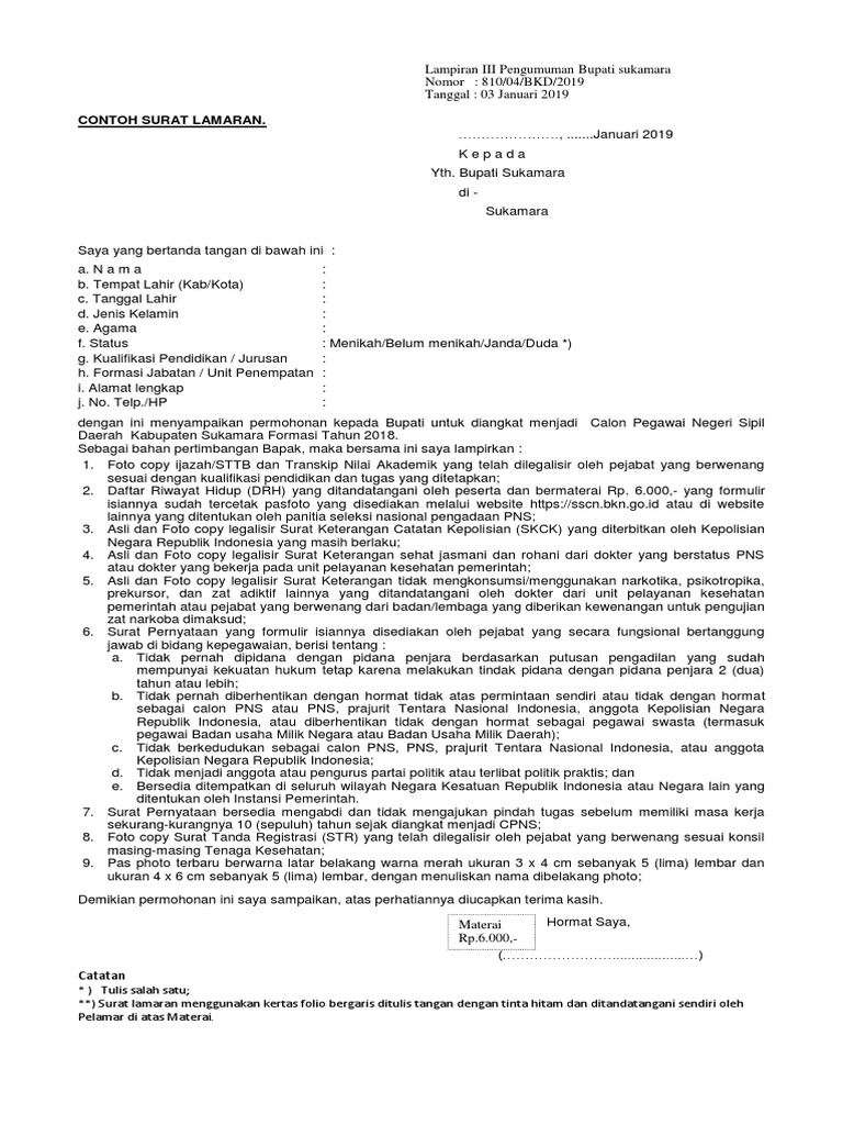
Contoh surat lamaran kerja yang baik dan benar sesuai dengan eyd ejaan yang disempurnakan untuk melamar pekerjaan di berbagai instansi baik bumn maupun swasta lengkap dengan filedoc siap untuk didownload dan diprint outcetak. Contoh surat lamaran pegawai kua.
Q Mimin Ada Contoh Surat Lamaran G Bkd Provinsi
Contoh surat lamaran kerja di kantor depag. Dengan pengalaman 7 tahun aktif menulis sejak smp di majalah sekolah lomba menulis dan jurnalistik kampus saya percaya diri untuk melamar di posisi tersebut karena sesuai dengan latar belakang saya. Contoh surat lamaran cpns kemenag 2018. Tapi saya ingatkan kembali bahwa pada postingan saya sebelumnya saya juga sudah membagikan contoh surat lamaran kerja marketingapabila anda membutuhkan referensi dalam menulis surat lamaran pekerjaan marketing. Beberapa hal sobat harus ketahui untuk membuat surat lamaran di bursa kerja atau job fair. Contoh surat lamaran cpns depag surat lamaran cpns lihat di pengumuman instansi. Pada contoh surat lamaran kerja kasir di alfamart saya buat dari informasi lowongan kerja yang saya lihat di website loker berikut contoh surat lamaran kerja kasir di alfamart.
Nah jika anda juga berencana melamar pekerjaan di perusahaan maka contoh surat lamaran kerja di persuahaan yang akan saya bagikan di bawah ini patut anda simak. Contoh surat lamaran kerja di alfamart. Medan 13 juni 2019. Kepada yth hrd pt sumber alfaria trijaya. Contoh surat lamaran kerja di perusahaan seringkali dicari oleh para pencari kerja yang ingin mengajukan lamaran pekerjaan di perusahaan perusahaan yang ada di indonesia. Postingan ini jawaban jika anda mencari surat lamaran kerja skl yang pas dan mudah didownloadedit dengan microsoft word.
Contoh surat lamaran kerja di kantor notaris adalah contoh lamaran pekerjaan terbaru yang akan admin bagikan pada kesempatan ini untuk anda yang ingin melamar kerja di kantor notaris. Ratusan peserta mengikuti seleksi kemampuan dasar skd calon pegawai negeri sipil cpns 2018 kementrian hukum dan ham di badan kepegawaian negara bkn kantor regional vii palembang sumatera selatan jumat 26 10 2018. Surat lamaran harus dibuat rapi dan bersih jika anda menggunakan ms. Contoh surat lamaran kerja pegawai honorer pemda adalah contoh lamaran pekerjaan terbaru yang akan admin bagikan pada kesempatan ini untuk anda yang ingin melamar kerja di instansi pemerintah daerah. Word tulisan minimal ukuran 12gunakan justify paragraf agar tidak berantakan. Namun saya ingatkan terlebih dulu bahwa pada postingan sebelumnya saya sudah share contoh surat lamaran kerja lulusan smkapabila anda membutuhkan informasi untuk menulis surat lamaran pekerjaan.
Saya menulis surat lamaran kerja ini setelah diberikan informasi dari bapak puntadewa bahwa rocket manajemen membutuhkan editor content untuk topik bisnis dan manajemen. Berbagai data terkait contoh surat lamaran kerja di kantor depag. Contoh surat lamaran kerja di kantor notaris surat lamaran kerja oktober 17 2019 1919 surat lamaran kerja notaris adalah sebuah surat permohonan untuk seseorang yang telah mendapatkan pendidikan hukum yang dilisensi oleh pemerintah untuk melakukan hal hal hukum khususnya sebagai saksi penandatanganan pada dokumen. Sobat bisa melihat contoh surat lamaran yang nulisblogs sediakan sebagai referensi untuk membuat surat lamaran kerja yang lebih baik.











:strip_icc():format(jpeg)/kly-media-production/medias/2709711/original/066304000_1548121858-COVER.jpg)



